Processing

Please wait...

Settings

Settings

Goto Application

Offices all Languages Stemming true Single Family Member false Include NPL false
RSS feed can only be generated if you have a WIPO account

Save query

A private query is only visible to you when you are logged-in and can not be used in RSS feeds

Query Tree

Refine Options

Offices
All
Specify the language of your search keywords
Stemming reduces inflected words to their stem or root form.
For example the words fishing, fished,fish, and fisher are reduced to the root word,fish,
so a search for fisher returns all the different variations
Returns only one member of a family of patents
Include Non-Patent literature in results

Full Query

CHEM:(WYROLENTHWJFLR-ACLDMZEESA-N)

Side-by-side view shortcuts

General
Go to Search input
CTRL + SHIFT +
Go to Results (selected record)
CTRL + SHIFT +
Go to Detail (selected tab)
CTRL + SHIFT +
Go to Next page
CTRL +
Go to Previous page
CTRL +
Results (First, do 'Go to Results')
Go to Next record / image
/
Go to Previous record / image
/
Scroll Up
Page Up
Scroll Down
Page Down
Scroll to Top
CTRL + Home
Scroll to Bottom
CTRL + End
Detail (First, do 'Go to Detail')
Go to Next tab
Go to Previous tab

Analysis

1.20230040247COMPOUNDS FOR TREATING NEURODEGENERATIVE DISEASES
US 09.02.2023
Int.Class A61K 31/7068
AHUMAN NECESSITIES
61MEDICAL OR VETERINARY SCIENCE; HYGIENE
KPREPARATIONS FOR MEDICAL, DENTAL OR TOILETRY PURPOSES
31Medicinal preparations containing organic active ingredients
70Carbohydrates; Sugars; Derivatives thereof
7042Compounds having saccharide radicals and heterocyclic rings
7052having nitrogen as a ring hetero atom, e.g. nucleosides, nucleotides
706containing six-membered rings with nitrogen as a ring hetero atom
7064containing condensed or non-condensed pyrimidines
7068having oxo groups directly attached to the pyrimidine ring, e.g. cytidine, cytidylic acid
Appl.No 17641197 Applicant Amabiotics Inventor Nicole McKnight

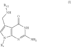
The present invention relates to a compound of the following formula (I): or a pharmaceutically acceptable salt or hydrate thereof, for use in the prevention or treatment of a neurodegenerative disease selected from the group consisting of a-synucleinopathy, in particular Lewy body disease, Huntington's disease, frontotemporal neurocognitive disorder, and amyotrophic lateral sclerosis in an individual.

embedded image

2.2022062191TREATMENTS FOR AUTOIMMUNE DISEASE
JP 19.04.2022
Int.Class A61P 37/06
AHUMAN NECESSITIES
61MEDICAL OR VETERINARY SCIENCE; HYGIENE
PSPECIFIC THERAPEUTIC ACTIVITY OF CHEMICAL COMPOUNDS OR MEDICINAL PREPARATIONS
37Drugs for immunological or allergic disorders
02Immunomodulators
06Immunosuppressants, e.g. drugs for graft rejection
Appl.No 2022016315 Applicant PROVOST FELLOWS FOUNDATION SCHOLARS AND THE OTHER MEMBERS OF BOARD OF THE COLLEGE OF THE HOLY AND UNDEVIDED TRINITY OF QUEEN ELIZABETH NEAR DUBLIN Inventor VINCENT KELLY

PROBLEM TO BE SOLVED: To provide a novel approach to treatment of autoimmune diseases, particularly multiple sclerosis.

SOLUTION: To provided a molecule capable of acting as substrate for a queuine-insertase enzyme complex for use in treatment of autoimmune diseases. The molecule is not a substrate for hypoxanthine- guanine phosphoribosyl transferase and the molecule has an effect of lowering interferon gamma. Preferably the autoimmune disease is multiple sclerosis.

SELECTED DRAWING: None

COPYRIGHT: (C)2022,JPO&INPIT

3.20220096574METHODS AND COMPOSITIONS FOR TREATING AND PREVENTING CENTRAL NERVOUS SYSTEM DISORDERS AND OTHER CONDITIONS CAUSED BY GUT MICROBIAL DYSBIOSIS
US 31.03.2022
Int.Class A61K 35/747
AHUMAN NECESSITIES
61MEDICAL OR VETERINARY SCIENCE; HYGIENE
KPREPARATIONS FOR MEDICAL, DENTAL OR TOILETRY PURPOSES
35Medicinal preparations containing materials or reaction products thereof with undetermined constitution
66Microorganisms or materials therefrom
74Bacteria
741Probiotics
744Lactic acid bacteria, e.g. enterococci, pediococci, lactococci, streptococci or leuconostocs
747Lactobacilli, e.g. L. acidophilus or L. brevis
Appl.No 17426178 Applicant HOLOBIOME, INC. Inventor STEPHEN SKOLNICK

The technology described herein is directed to compositions and methods for treating CNS diseases or disorders associated with microbiome dysbiosis. In one aspect, described herein are compositions and methods for treating CNS diseases or disorders associated with a microbiome deficient in queuine biosynthesis. In another aspect, described herein are compositions and methods for treating CNS diseases or disorders associated with a microbiome deficient in endozepine biosynthesis. In another aspect, described herein are compositions and methods for treating CNS diseases or disorders associated with a microbiome deficient in heavy metal sequestration.

4.WO/2021/048431COMPOUNDS FOR TREATING ATAXIA
WO 18.03.2021
Int.Class A61K 31/519
AHUMAN NECESSITIES
61MEDICAL OR VETERINARY SCIENCE; HYGIENE
KPREPARATIONS FOR MEDICAL, DENTAL OR TOILETRY PURPOSES
31Medicinal preparations containing organic active ingredients
33Heterocyclic compounds
395having nitrogen as a ring hetero atom, e.g. guanethidine or rifamycins
495having six-membered rings with two nitrogen atoms as the only ring hetero atoms, e.g. piperazine
505Pyrimidines; Hydrogenated pyrimidines, e.g. trimethoprim
519ortho- or peri-condensed with heterocyclic rings
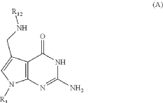
Appl.No PCT/EP2020/075582 Applicant AMABIOTICS Inventor MCKNIGHT, Nicole
The present invention relates to a compound of the following formula (I): or a pharmaceutically acceptable salt or hydrate thereof, for use in the prevention or treatment of ataxia, in particular Friedreich ataxia, in an individual.
5.20210052589COMPOUNDS FOR TREATING ALZHEIMER'S DISEASE
US 25.02.2021
Int.Class A61K 31/5025
AHUMAN NECESSITIES
61MEDICAL OR VETERINARY SCIENCE; HYGIENE
KPREPARATIONS FOR MEDICAL, DENTAL OR TOILETRY PURPOSES
31Medicinal preparations containing organic active ingredients
33Heterocyclic compounds
395having nitrogen as a ring hetero atom, e.g. guanethidine or rifamycins
495having six-membered rings with two nitrogen atoms as the only ring hetero atoms, e.g. piperazine
50Pyridazines; Hydrogenated pyridazines
5025ortho- or peri-condensed with heterocyclic ring systems
Appl.No 16977979 Applicant Amabiotics Inventor Patrice Garnier

The present invention relates to a compound of the following formula (I): (I) or a pharmaceutically acceptable salt or hydrate thereof, for use in the prevention or treatment of Alzheimer's disease in an individual.

embedded image

6.20210046056Compounds for treating diseases associated with a mitochondrial dysfunction
US 18.02.2021
Int.Class A61K 31/437
AHUMAN NECESSITIES
61MEDICAL OR VETERINARY SCIENCE; HYGIENE
KPREPARATIONS FOR MEDICAL, DENTAL OR TOILETRY PURPOSES
31Medicinal preparations containing organic active ingredients
33Heterocyclic compounds
395having nitrogen as a ring hetero atom, e.g. guanethidine or rifamycins
435having six-membered rings with one nitrogen as the only ring hetero atom
4353ortho- or peri-condensed with heterocyclic ring systems
437the heterocyclic ring system containing a five-membered ring having nitrogen as a ring hetero atom, e.g. indolizine, beta-carboline
Appl.No 17086583 Applicant Amabiotics Inventor Antoine Danchin

The present invention relates to a compound of the following formula (A): or a pharmaceutically acceptable salt or hydrate thereof, for use in the prevention or treatment of a disease associated with a mitochondrial dysfunction.

embedded image

7.20210024529Substituted pyrimidine derivatives useful in the treatment of autoimmune diseases
US 28.01.2021
Int.Class A61P 37/00
AHUMAN NECESSITIES
61MEDICAL OR VETERINARY SCIENCE; HYGIENE
PSPECIFIC THERAPEUTIC ACTIVITY OF CHEMICAL COMPOUNDS OR MEDICINAL PREPARATIONS
37Drugs for immunological or allergic disorders
Appl.No 17004097 Applicant THE PROVOST, FELLOWS, FOUNDATION SCHOLARS, AND THE OTHER MEMBERS OF BOARD, OF THE COLLEGE OF THE HOLY AND UNDIVIDED TRINITY OF QUEEN ELIZABETH, NEAR DUBLIN Inventor John Michael Southern

The present invention describes compounds of formula (I)

embedded image
Wherein:
R1 is selected from H and CH3
R2 is selected from H, C4H9 alkyl, C6H13 alkyl and C3H6-phenyl, said phenyl optionally substituted by OH or OCH3, (1R,2S,5S)-5-methylcyclopent-3-ene-1,2-diol
X is O or S
Y is C, N or S.

These compounds have been identified as novel compounds useful in the treatment of multiple sclerosis and other autoimmune diseases.

8.2020090515TREATMENT OF AUTOIMMUNE DISEASES
JP 11.06.2020
Int.Class A61K 45/00
AHUMAN NECESSITIES
61MEDICAL OR VETERINARY SCIENCE; HYGIENE
KPREPARATIONS FOR MEDICAL, DENTAL OR TOILETRY PURPOSES
45Medicinal preparations containing active ingredients not provided for in groups A61K31/-A61K41/132
Appl.No 2020006026 Applicant PROVOST FELLOWS FOUNDATION SCHOLARS AND THE OTHER MEMBERS OF BOARD OF THE COLLEGE OF THE HOLY AND UNDEVIDED TRINITY OF QUEEN ELIZABETH NEAR DUBLIN Inventor VINCENT KELLY

PROBLEM TO BE SOLVED: To provide novel approach for treatment of autoimmune diseases, in particular, of multiple sclerosis.

SOLUTION: Disclosed is a molecule for use in treatment of an autoimmune disease, which can act as a substrate for a queuine-insertase enzyme complex, but not as a substrate for hypoxanthine-guanine phosphoribosyl transferase, and has an effect to lower interferon gamma. Preferably, the autoimmune disease is multiple sclerosis.

SELECTED DRAWING: None

COPYRIGHT: (C)2020,JPO&INPIT

9.20190224174Compounds for treating diseases associated with a mitochondrial dysfunction
US 25.07.2019
Int.Class A61K 31/437
AHUMAN NECESSITIES
61MEDICAL OR VETERINARY SCIENCE; HYGIENE
KPREPARATIONS FOR MEDICAL, DENTAL OR TOILETRY PURPOSES
31Medicinal preparations containing organic active ingredients
33Heterocyclic compounds
395having nitrogen as a ring hetero atom, e.g. guanethidine or rifamycins
435having six-membered rings with one nitrogen as the only ring hetero atom
4353ortho- or peri-condensed with heterocyclic ring systems
437the heterocyclic ring system containing a five-membered ring having nitrogen as a ring hetero atom, e.g. indolizine, beta-carboline
Appl.No 16328784 Applicant AMABIOTICS Inventor Antoine Danchin

The present invention relates to a compound of the following formula (A):

embedded image
or a pharmaceutically acceptable salt or hydrate thereof, for use in the prevention or treatment of a disease associated with a mitochondrial dysfunction.

10.20180256583Treatments for autoimmune disease
US 13.09.2018
Int.Class A61K 31/519
AHUMAN NECESSITIES
61MEDICAL OR VETERINARY SCIENCE; HYGIENE
KPREPARATIONS FOR MEDICAL, DENTAL OR TOILETRY PURPOSES
31Medicinal preparations containing organic active ingredients
33Heterocyclic compounds
395having nitrogen as a ring hetero atom, e.g. guanethidine or rifamycins
495having six-membered rings with two nitrogen atoms as the only ring hetero atoms, e.g. piperazine
505Pyrimidines; Hydrogenated pyrimidines, e.g. trimethoprim
519ortho- or peri-condensed with heterocyclic rings
Appl.No 15976012 Applicant THE PROVOST, FELLOWS, FOUNDATION SCHOLARS, AND THE OTHER MEMBERS OF BOARD, OF THE COLLEGE OF THE HOLY AND UNDIVIDED TRINITY OF QUEEN ELIZABETH, NEAR DUBLIN Inventor Vincent Kelly

The invention provides a novel approach to the treatment of autoimmune diseases, particularly multiple sclerosis, using a molecule capable of acting as substrate for the queuine-insertase enzyme complex.